1. In a free radical reaction, free radicals are formed at
(a) Initiation step (b) Propagation step (c) Termination step (d) Both (a) and (b)
2. Which of the following dienes can undergo Diels–Alder reaction most readily

3. Separating techniques such as gas chromatography and liquid chromatography are not appropriate for separation of amino acids. Select correct reason from the following
(a) Amino acids high polarity substances
(b) Amino acids are low polarity substances
(c) Amino acids are non polar substances
(d) Amino acids lowly charges substances
4. When trans-2-butene is treated with bromine an anti-addition of bromine yields meso- 2,3- dibromobutane.
Select the correct statement regarding the reaction from the following
(a) The reaction is stereoselective as well as stereo specific
(b) The reaction is stereoselective and not stereo specific
(c) The reaction is nonstereoselective as well as non stereo specific
(d) The reaction is stereo specific and not stereo selection
5. Reduction of imines to give amines in protic solvents can be carried out by one of the following reagents. Select the correct reagent
(a) Sodium hydride
(b) Sodium chloride and HCl
(c) Lithium aluminium chloride
(d) Sodium cyanoborohydride
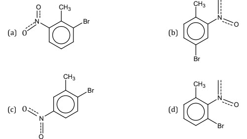
6. In the reaction of 2-nitrotoluene with bromine in presence of iron, which of the product shownbelow is the most abundant (major) product

7. Which of the following cannot react as a nucleophile
(a) (CH3)4 N+ (b) CH3NH2 (c) (CH3)2 NH (d) (CH3)3N
8. Which of the following compounds will be oxidized by CrO3 in acid
(a)4-Methylcyclohexene (b) 3-Methyl 3-hydroxyclohexanone
(c) 4,4-Dimethyl-1-methyl-1,3-cyclohexandiol (d) 2-Methylcyclohexanone
9. Which of the following compounds absorbs at the longest wavelength
(a) 1,3,5-Hexatriene (b) 1,3,5,7-Octatetraene
(c) 1,7-Diphenyl-1,3,5-heptatriene (d) 1,6-Diphenyl-1,3,5-heptatriene
10. Which of the following reagents will reduce a disubstituted alkyne to trans-alkene
(a) Na and NH3
(b) LiAlH4
(c) B2H6
(d) Pd and H2
11. Which of the following statement is true about following reaction

(a) The product will not have a stereo center
(b) The product will have R configuration
(c) The product will not have S configuration
(d) The reaction will happen with racemisation
12. Which functional group is present in the molecule shown below
(a) Amide (b) Alcohol (c) Ester (d) Ether
13. Match the following agents that cause cancer with the preferable sites for where it might cause
1. Arsenic (a) Prostate
2. Benzene (b) Angiosarcoma
3. Cadmium Compounds (c) Leukemia
4. Vinyl chloride (d) Hemangiosarcoma
(a) 1 - d; 2 - c; 3 - a; 4 -b
(b) 1 - b; 2 - a; 3 - c; 4- d
(c) 1 - c; 2 - d; 3 - b;4 - a
(d) 1 - a; 2 - b; 3 -d; 4 - c
14. If the pKa of lidocaine is 7.9 and pH of the infected tissue is 8.9, the fraction of drug in the ionized form will be
(a) 10% (b) 1% (c) 90% (d) 99%
15. Which among the following are the salient features of Glucocorticoids
(a) Gets combined with highly specific cytosolic glucocorticoids
(b) They promote phagocytosis by macrophages
(c) Releases of lytic enzymes
(d) Increases lipid eicosanoids and prostaglandin gene
Go to "Next Page" for more questions...
Subscribe to Pharmatutor Job Alerts by Email
16. The most commonly used test of sensitivity to antimicrobial agent is
(a) Kirby- Bauer techniques
(b) Immunodiffusion techniques
(c) Qudin procedure
(d) Ouchter- Ion procedure
17. Bulk product is defined as
(a) Product completing all processing stages but not necessarily final packing
(b) A product ready for final dispatch
(c) Raw material used for making final dosage form
(d) A defined quantity of raw material from the same batch
18. Product,........and Promotion are four ‘P’s of marketing
(a) Price and Place (b) Place
(c) Process (d) Production, Process, Price, Production
19. Insulin and thyroxin arrive at an organ / tissue / cell at the same time. Thyroxine causes an effect on the organ but insulin does not because
(a) The organ cell have receptors for thyroxine but not for insulin
(b) Thyroxin is a lipid -soluble hormone and insulin
(c) The target cell in the organ have up-regulated for
(d) Thyroxin is local hormone and insulin is a circula
20. Which among the following is an incorrect statement with regard to the drug Dantrolene
(a) It is a pyrazoline derivative
(b) It is an imidazoline analogue
(c) It is a nitrophenylfurfurylidene derivative
(d) It is a skeletal muscle relaxant
21. Diazepam is not suitable for peroral sustained release form since
(a) Is not absorbed in lower intestine
(b) It has biological half life greater than twelve effects hour
(c) It has biological half life less than one hour
(d) It has undesirable side effects
22. Antioxidant used as blocking agent in sterile product is
(a) Ascorbic acid esters (b) Sodium bisulphate (c) Ascorbic acid (d) EDTA
23. Many mediators have been implicated in the asthmatic response. The clinical efficacyof pharmacologic intervention with inhibitors or antagonist of the mediators involves following category - except
(a) Platelet activating factors
(b) Anticholinergics
(c) Antihistaminics
(d) Cytokine inhibitors
24. Match the following adrenergic drugs with their receptor affinity
(1) Epinephrine (a) More alpha 1, no beta 1, beta 2 & dopamine
(2) Noradreanline (b) More alpha 1 & beta 1, less beta 2, no dopamine
(3) Phenylephrine (c) More beta 1 & Beta 2, no alpha 1 and dopamine
(4) Dobutamine (d) More alpha 1 & beta 1 , no beta 2 & dopamine
(a) a - 2; b - 4; c - 1; d -3
(b) a - 1; b - 3; c - 4; d- 2
(c) a - 3; b - 1; c - 2;d - 4
(d) a - 4; b - 2; c -3; d - 1
25. If the drug substance has been substituted wholly or in part by another drug orsubstance, it is called as
(a) Spurious drug (b) Adulterated drug (c) Misbranded drug (d) Mixed drug
26. One of the principle upon which HPLC detector functions is
(a) Redox property of solute is the basis for functioning of Electrochemical detectors
(b) Fluorimetric detector has high selectivity and low sensitivity
(c) Small difference in Refractive Index of mobile phase permit precise measurements in
Refractive index detectors
(d) UV detector function based on its ability to detector
27. Methanolic extract of a crude drug powder when treated with magensium turnings and concentrated hydrochloric acid turned the solution magenta coloured. The test is termed as
(a) Shinodatest (b) Van Urk’s Test
(c) Keller Killiani test (d) Vitali Morin Test
28. Etoposide and Teniposide are the semisynthetic derivatives of
(a) Myrrhabolic acid (b) Podophyllotoxin (c) Abietic acid (d) Umbelliferone
29. The thymus secretes several hormones related to the immunity. These hormones promote the maturation of T lymphocyte cells. These hormones are
1. Thymosin
2. Thymichumoral factor
3. Thymic factor
4. Interleukins
(a) Only 1, 2 (b) 1, 2 and 3 (c) only 3 (d) Only 4
30. For the measurement of particle size of powders, the distance measured between two tangents on
opposite sides of the particle parallel to some fixed direction is called
(a) Feret diameter (b) Martin diameter
(c) Projected area diameter (d) Edmundson diameter
Go to "Next Page" for more questions...
Subscribe to Pharmatutor Job Alerts by Email
31. Beta oxidation of fatty acids takes place in
(a) Mitochondria (b) Cytoplasm (c) Nucleus (d) Choroplast
32. Which of the following genera is not the source for tropane alkaloids
(a) Datura (b) Duboisia (c) Nicotiana (d) Atropa
33. The useful variable from in vitro dissolution test data for IVIVC includes
(a) t50 % - t63.2 (b) Sampling interval (c) Sample volume (d) Volume of dissolution fluid
34. In respect of female reproductive cycle, which of the following statements are correct
1. The female reproductive cycle consists of menstrual phase, a pre-ovulatory phase,ovulation and a post ovulatory phase
2. During the menstrual phase, small secondary follicles in the ovary begin to enlargewhile the uterus is shedding its lining
3. During the pre-ovulatory phase, a dominant follicle continues to grow and begins tosecret estrogen and inhibin while the uterine lining begins to rebuild
4. Ovulation results in the release of an ovum and the shedding of the uterus lining tonourish and support the release ovum
5. After ovulation, a corpus luteum forms the ruptured follicles and begins to secreteprogesterone and estrogen, which it will continue to do throughout pregnancy if the eggis fertilized
6. If pregnancy does not occur, then the corpus luteum degenerates into a scar knownas corpus albicans and uterine lining is prepared to be shed again
(a) 1, 2, 3 and 6 (b) 2, 3, 4and 6 (c) 1, 2, 4 and 5 (d) 1, 4, 5 and 6
35. Apparent volume of distribution will be highest in case of the drug with % plasmaprotein binding
(a) 10 (b) 89 (c) 50 (d) 68
36. To rule out the probability of dose dumping from an oral CR dosage form, USP hasincluded which sampling time point for in vitro dissolution test where D is normal dosing interval
(a) 0.50D (b) 0.25D (c) 50-1.0D (d) 1.0-2.0D
37. Which of the following statement regarding cerebral hemisphere is true
(a) The right and left hemisphere are symmetrical
(b) This right more important for spoken and written language
(c) The left hemisphere is more important for musical and artistic awareness
(d) Hemispheric lateralization is more pronounced in male than in female
38. Which among the following is a Class-I method, used for rendering a solution of drug isotonic with body fluids
(a) Cryoscopic method
(b) White-Vincent method
(c) Sprowlsmethod
(d) Hammarlund method
39. (Weight in pounds/150) * Adult Dose = Child dose. The above formula is known as _________ in Posology
(a) Youngs formula (b) Dillings formula
(c) Clarkes formula (d) Frieds formula
40. The type of particle diameter obtained by microscopic method of evaluation is
(a) Projected diameter
(b) Surface –volume diameter
(c) Volume - surface diameter
(d) Stokes diameter
41. Naphazoline
(a) Is used for relief ofnasal congestion
(b) Exhibits peripheral beta-adrenoceptor stimulant
(c) Is a pyrazolinederivative
(d) Chemically, is 1H Imidazole, 3,4 -dihydro- 2 –(3-naphthylmethyl) monohydrochloride
42. A patient receiving warfarin develops rheumatoid arthritis. Which one of the following drugs would be Contraindicated
(a) Ibuprofen (b) Tolmetin (c) Aurothioglucose (d) Aspirin
43. A crude drug powder was heated with ferric chloride, water and concentrated hydrochloric acid followed by extraction with chloroform. The chloroform layer was treated with ammonia, the ammonical layer turned pink. The test indicates presence of________ phytoconstitutent
(a) Anthraquinone-C-glycosides
(b) Flavanones
(c) Cardiac glycosides
(d) Saponin glycosides
44. The first vaccine was discovered by
(a) DeBary (b) Paul Ehrlich (c) Robert Koch (d) Edward Jenner
45. Type IV dissolution apparatus as per USP is
(a) Flow through cell
(b) Paddle type apparatus
(c) Reciprocating cylinder
(d) Paddle over dsk apparatus
Go to "Next Page" for more questions...
Subscribe to Pharmatutor Job Alerts by Email
46. Hoeppler viscometer is a type of
(a) Falling sphere viscometer
(b) Capillary viscometer
(c) Cup and Bob viscometer
(d) Cone and plate viscometer
47. Following are the list of various inherited metabolic disorders that can affect functioning of liver
a. Primary biliary cirrhosis
b. Glycogen storage disease
c. Gilbert’s syndrome
d. Haemochromatosis
e. Wilson’s disease
(a) a, b, c, d (b) b, c, d, e (c) a, c, d, e (d) a, b, d, e
48. In relation to buccal and sublingual route of administration which of the following statement is incorrect
(a) Absorption through epithelium is not affected by partition coefficient of the Drug
(b) Drug absorption by these routes by pass first pass metabolism
(c) There is an optimum log P for sublingual absorption
(d) These are preferred routes for anti-anginal drug
49. Which among the following statements describing surface activity for surfactants is incorrect
(a) Increase in length of hydrocarbon chain decreases surface activity
(b) Increase in ethylene oxide chain of polyoxy ethyl alcohol Increase in surface activity
(c) Increase in surface activity results in decrease length of hydrocarbon chain
(d) Relationship between hydrocarbon chain length andhydrphobicity
50. Surface tension is categorized as a/an __________ factor
(a) Capacity (b) Intensive (c) Extensive (d) Tolerance
51. Which of the following gums is obtained from endosperm
(a) Guar gum (b) Acacia gum (c) Tragacanth gum (d) Sterculia gum
52. High lightening differences among brands within the same product category is___________
(a) Product brand (b) Brand launch (c) Product differentiation (d) Branding
53. Hot stage microscopy is an important tool in preformulation studies for the study of
(a) Pseudopolymorphism (b) Paricle size measurement
(c) Microbial contamination (d) Compaction behaviour
54. In Bismuth subgallate suppositories B.P.C, when no strength of the drug is specified, B.P.C directs __________ bismuth subgallate per suppository
(a) 300 mg (b) 200 mg (c) 100 mg (d) 400 mg
55. The Michaehis-Menten hypothesis
(a) Postulates the formation of an enzymesubstrate complex
(b) Enables us to calculate the isoelectric point ofan enzyme
(c) States that the rate of a chemical reaction maybe independent of substrate concentration
(d) States that the reaction rate is proportional tosubstrate concentration
56. The largest gene in human is _____________
(a) Dystrophin (b) Titin (c) Insulin (d) Phosphofructokinase
57. Which of the following techniques is not useful to detect polymorphs
(a) DSC (b) HPLC (c) PXRD (d) Melting point determination
58. Which of the following constituents is responsible for colour of shellac
(a) Shelloic acid (b) Laccaic acid (c) Aleurotic acid (d) All of the above
59. Match the following drugs with alteration they produces in structural-functional of kidney
(1) Aminoglycoside Anitibiotics (A) Glomerular abnormality
(2) ACE inhibitors (B) Tubalar epithelial cell Demage
(3) Methotrxate (C) Hemodynamic Mediated kidney injury
(4) NSAIDs (D) Obstructure nephrophathy
(a) 1 - B; 2 -C ; 3 - D; 4 -A (b) 1 - A; 2-B; 3 - C; 4- D
(c) 1 - C; 2-D; 3 - A; 4- B (d) 1 - D; 2-A; 3 - B; 4- C
60. Hixon Crowell’s cube root law of dissolution states that
(a) There is a change in particle size and surface area during dissolution of drug
(b) Dissolution process is controlled by diffusion of molecules/ions
(c) High free energy of activation is required for solution
(d) Renewal of surface fluid layer around drug particle
Go to "Next Page" for more questions...
Subscribe to Pharmatutor Job Alerts by Email
61. All of the following statements regarding estrogen therapy in postmenopausal women are true EXCEPT
(a) It restores the loss of bone mass due to osteoporosis
(b) It may be useful to treat vasomotor symptoms
(c) Administration in a regimen including a progestin
(d) It is useful in the treatment of atrophic vaginitie
62. Chapter IV of which law states that experiments on animals are avoided wherever it is possible to do so; as for example; in medical schools, hospitals, colleges and the like, if other teaching devices such as books, models, films and the. like, may equally suffice. Also, that experiments on larger animals are avoided when it is possible to achieve the same results by experiments upon small laboratory animals like guinea- pigs,rabbits, frogs and rats
(a) The prevention of cruelty to animal act,1960
(b) The Pharmacy Act, 1948
(c) Drugs and Cosmetics Act, 1940
(d) Medicinal and Toilet Preparations Act, 1955
63. Which among the following rules about spin - spin coupling and bond multiplicities are correct with regard to NMR spectra
(a) Coupling constant rarely exceeds 20 cps whilechemical shifts are over 1000 cps
(b) Spin - Spin interactions are dependent of strength of the applied field
(c) Coupling constants increase with distance
(d) Equivalent nuclei interact with each other to show interaction
64. Most accepted mechanism for developing bacterial resistance to sulphonamides is
(a) An alternative metabolic pathway for synthesis of essential
(b) An increasing capacity to metabolize the drug
(c) Increased antagonism of drug
(d) An alteration in enzyme that utilizes PABA
65. All the dopaminergic agonists having affinity for D2 receptors are clinically used in following conditions except
(a) Obsessive-compulsive disorder
(b) Hyperprolactinemia
(c) Acromegaly
(d) Parkinsonism
66. The labelling instruction “To be diluted 20 times its volume with water” indicates the dispensed product is a
(a) Mixture (b) Elixir (c) Linctus (d) Mouthwash
67. Which among the following is a structural variant of GABA and is used as a muscle relaxant
(a) Metocurine (b) Tybamate (c) Baclofen (d) Cyclobenzaprine
68. A steroidal phyto constituent lowering blood sugar is obtained from
(a) Momordica charantia
(b) Quillaja saponaria
(c) Dioscorea deltoidea
(d) Glycyrrhiza glabra
69. Which of the following drug is associated with the reaction of extreme photosensitivity
(a) Niacin (b) Digitalis (c) Tetracycline (d) Fluoroquinolones
70. Which among the following statements related to Ceric sulphate as oxidizing agent, as titrant are correct
(a) Ce (IV) during reaction exists as an anionic complex in media of sulphuric acid
(b) Ionic equation is

(c) Formal potential of Ce(III) Ce (II) couple is 1
(d) Ce (IV) does not permit use of HCl as reducing media
71. A labeled piece of DNA that is complementary to the sequence of DNA you are interested in, say the gene you are trying to put into cells, is called as
(a) A probe (b) A receptor (c) A epitope (d) A target
72. As per first schedule of Drugs and Cosmetics Act ,1940, following is name of the book under Siddha system of medicine
(a) Arka Prakasha (b) Yog Ratnakar (c) Nagamuni (d) Vrinda Chikitsa
73. Amantidine is helpful in Parkinson’s disease because
(a) It liberates dopamine from nerve endings
(b) It decreases cholinergic activity
(c) It is metabolized into dopamine
(d) It increases adrenergic activity
74. An intermediate 3- Chloroaniline 4, 6 - disulphonamide on heating with formic acid yields a compound
(a) 6 chloro 2H -1,2,4benzothiadiazine 7 sulphonamide
(b) 3 chloro-2H 1,2,4- benzothiadiazine 7 sulphonamide
(c) Used in treatment of urinary tract infections
(d) Used as antibacterial
75. Acetyl Choline is hydrolyzed by enzyme
(a) Acetylase (b) Cholinase (c) Acetylcholinesterase (d) Transferase


